Inheritance with c++
Definition : It is process of by which one class acquired the property of another class.
- New class is a derived class.
- Exiting class known as base class.
šTypes of inheritance:
- Single inheritance
- Multiple inheritance
- Multilevel inheritance
- Hierarchical inheritance
- Hybrid inheritance
1) single inheritance:The derived class only one based class is called single inheritance.
- A=base class
- B=derived class
Syntax of single inheritance:
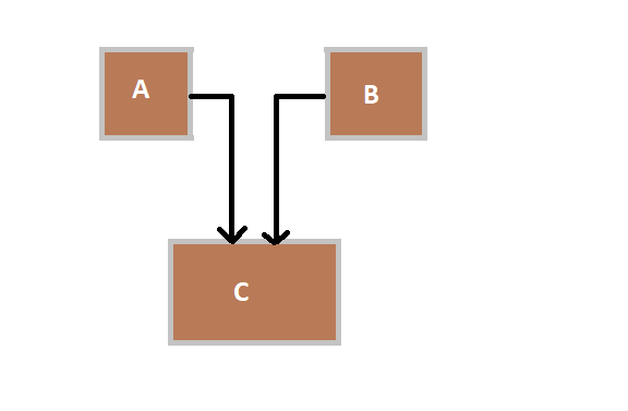
2)Multiple inheritance: A derived class with several base classes called multiple inheritance.
- A=B=base class
- C=derived class
syntax :
3) Hhierarchical inheritance: A properties of one class may be inherited by more than one class is called hierarchical inheritance.
- A=base class
- B=C=D=derived class
syntax:
4)Multilevel inheritance: The mechanism of deriving a class from another derived class is known as multilevel inheritance.
syntax:
5)Hybrid inheritance: It is a combination of all type of inheritance.
syntax:
Syntax of inheritance:
class derived class name :: visibility mode base class name
EX.
base class define: Derived class :
class B class D : visibility mode B
{ {
private: private:
....... .........
public: public:
........ .......
}; };
- visibility mode is optional and it is present either private or public.
- Default visibility mode is private.
- Visibility mode define the features of base class privately derived or publicly derived.
all type of inheritance with example in next post..








0 comments: